Liste de discussions
-
Vérifiée par Alloprof
Secondaire 2 • 2aALLO! Je ne comprends pas cette question de TOUT. c’est écrit, détermine la km et le Litres de chaque véhicule, mais c’est déjà écrit! JE NE COMPRENDS RIEN!😭😭😭😭😭
-
Vérifiée par Alloprof
Secondaire 5 • 2ala question était de simplifier cette expression.
ce que je ne comprend pas de ce problème c'est pourquoi la réponse finale est négative ?voila c est le probleme que vous m avez demandé pour la question qui a été supprimer
merci
-
Vérifiée par Alloprof
Secondaire 5 • 2aSALUT!pour résoudre , est ce qu on aurait pu juste mettre au carre les 2 racines et le 5 puis x= 11 ...? au lieu de cales réponses sont différentes ...
merci
-
Vérifiée par Alloprof
Secondaire 5 • 2aBonjour,
Comment je suis supposé de calculer le prix de vente à partir de la marge du profit et du coût de production?
Par exemple le cout de production est de 0.78 et la marge de profit est de 200%
-
Vérifiée par Alloprof
Secondaire 4 • 2aAllo,
Est ce que sur un graphe dont:
x: l’aire d’une sphère y:rayon de la sphère, est ce que le domaine commence à zéro ou après zéro?
-
Vérifiée par Alloprof
Secondaire 3 • 2aBonjour,je me demandais si quelqu'un pouvait m'expliquer les exposants?
-
Vérifiée par Alloprof
Primaire 3 • 2aallo combien font 10+ 1545=?
-
Vérifiée par Alloprof
Postsecondaire • 2aBonjour j'aurais une question en math concernant les vecteursA(1,1,1), B(1,2,1),c(0,1,1) D(1,1,4) et P(3,9,9)
Démontrer que le barycentre P d'un ensemble de n point P1... P2....Pn vérifie l'équation suivante
AP= 1/n(AP1 +AP2+...+APn) ou A est point axillaire quelconque
Je ne comprend pas trop la question...
Merci
-
Vérifiée par Alloprof
Secondaire 3 • 2aBonjour, je ne comprends pas ces deux numéro. Car je ne comprends pas comment trouver la distance dans le premier numéro. Et dans le deuxième, je ne comprends pas comment savoir si le poteau est perpendiculaire. Merci en avance
-
Vérifiée par Alloprof
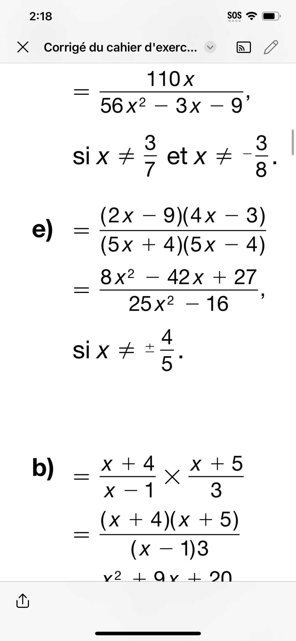
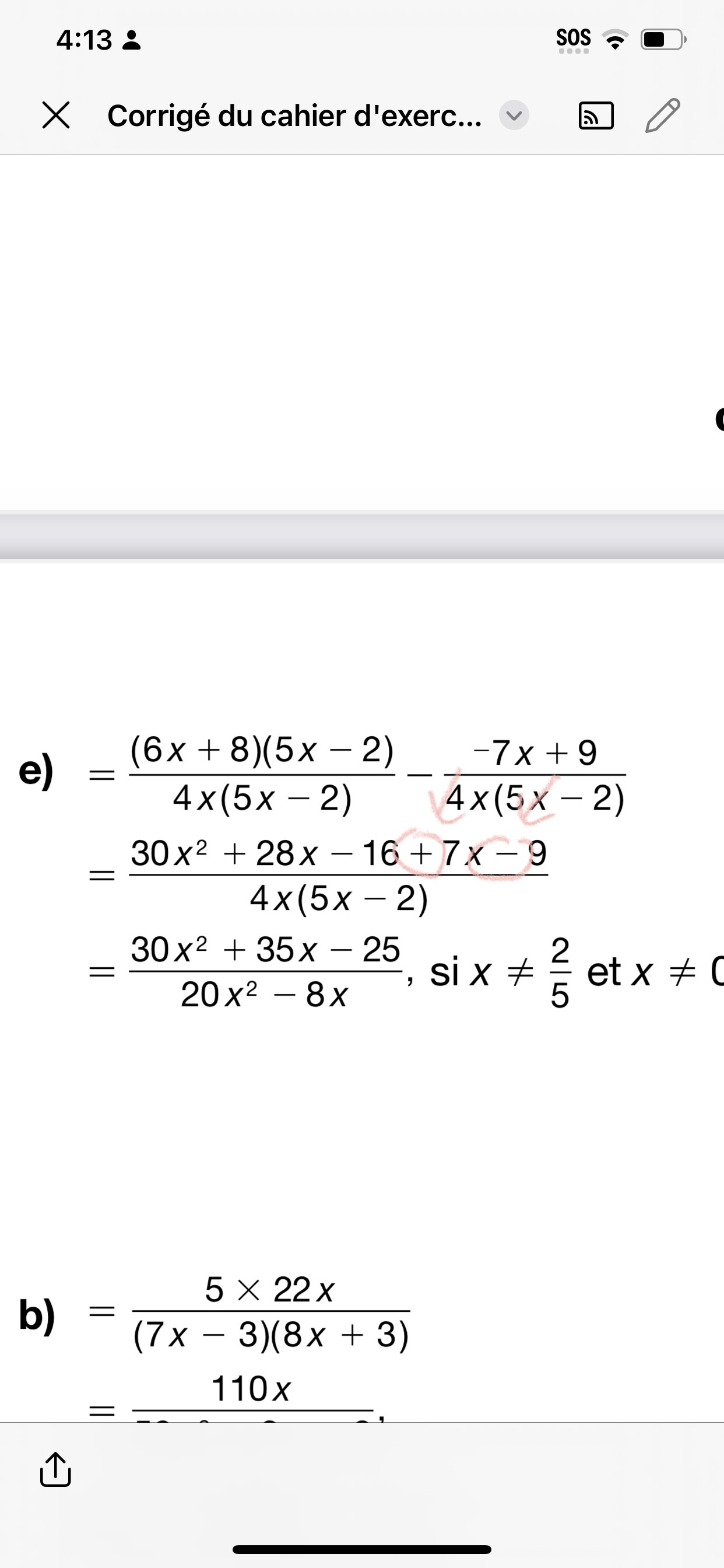
Secondaire 4 • 2aBonjour
ici je ne comprend pas comment la restriction donne 4 sur 5.
merci
-
Vérifiée par Alloprof
Secondaire 5 • 2aSalut!
J'aimerai savoir si pour la réciproque d'une fonction du second degré on donne tout simplement la relation du second degré ou sinon il y'a une restriction de domaine à faire comme pour la réciproque d'une fonction racine carrée ? et aussi si on donne la régle de la relation du second degré , est-ce qu'on écrit Y= ou f-1(x)= ou y= ... ?
merci
-
Vérifiée par Alloprof
Secondaire 4 • 2aBonjour.Je ne comprends pas comment résoudre ce problème. De plus, en plus de montrer comment faire ce problème, pouvez-vous aussi clarifier ma grande doute:
Est-ce l'exposant 2 est sur √75 ou - √75 ?
Merci et bonne journée.
-
Vérifiée par Alloprof
Secondaire 4 • 2aBonjour,
je ne sais pas comment trouver les points soit x et y quand on connais seulement la pente. Le corrigé dit qu’il peut avoir plus d’une réponse.
-
Vérifiée par Alloprof
Secondaire 3 • 2aComment calculer la racine d'une fraction ? Ex : racine cubique de 1/8. Merci à l'avance !
-
Vérifiée par Alloprof
Secondaire 3 • 2aBonjour, dans cette question, ils nous demandent de déterminer si les deux expressions sont équivalentes mais je ne comprends pas comment faire le c. Matière: La notation exponentielle/Loi des exposants
-
Vérifiée par Alloprof
Secondaire 1 • 2aComment utiliser les trois situations dans les statistiques: la population,caractère étudié type de caractère
-
Vérifiée par Alloprof
Primaire 4 • 2ac'est quoi 3345 en unités de mille
-
Vérifiée par Alloprof
Secondaire 4 • 2aJe ne comprends pas pourquoi la corrélation est faible car les des données sont quand même proche de la diagonale. Est-ce que parce qu’il y a des zéros dans la diagonale ?
merci !
-
Vérifiée par Alloprof
Secondaire 3 • 2aBonjour j'aimerais avoi de l'aide avec le g dans la partie mauve soulignee. Matiere: notation exponentielle, merci
-
Vérifiée par Alloprof
Secondaire 2 • 2aBonjour je ne comprends pas cette exercice
-
Vérifiée par Alloprof
Secondaire 4 • 2abonjour. Je fais des maths et il y a un numéro que je ne comprends pas. Le voici :
« Déterminez le périmètre du triangle ALM, sachant que mLM = 34 cm, que le sinus de l'angle = 0,471 et que le rapport entre les mesures des côtés AL et AM est de 1,875 (soit mAL/mAM = 1,875). Arrondissez à l'unité. »
-
Vérifiée par Alloprof
Secondaire 3 • 2aBonjour alloprof je vous avais poser une question mais vous ne m'avez pas bien compris c'est quel numéro. Pour le i) quand il y a une division est-ce que le 2b reste numérateur ou dénominateur ?
-
Vérifiée par Alloprof
Secondaire 3 • 2abonsoir,est ce que vous pouvez m'aider svp ?
Je n'ai pas compris comment développer
(5-9)^3
vous pouvez m'aider ?
-
Vérifiée par Alloprof
Primaire 5 • 2aRe-bonjour alloporf !
Je n'ai pas aussi compris celui-la !
Pouvez-vous m'expliquer ?
-
Vérifiée par Alloprof
Primaire 6 • 2aComment on fait pour ne pas oublier la méthode PEMDAS lors d'équation?
-
Vérifiée par Alloprof
Primaire 5 • 2aBonjour alloporf !
J'ai pas compris ce numero.
Pouvez-vous m'expliquer svp ?
-
Vérifiée par Alloprof
Secondaire 3 • 2aBonjour j'aimerais savoir c'est quoi la reponse avec une demarche SVP (pour le c)
-
Vérifiée par Alloprof
Secondaire 4 • 2aBonjour, je ne comprends pas pourquoi ils disent que la corrélation est faibles sachets que les points sont proches de la diagonale et qu’il y a beaucoup de zéro. Auriez-vous une astuce qui me permettrait plus facilement de reconnaître si c’est une corrélation positive, moyenne ou négative en me servant du tableau à double entrée ?
merci pour votre aide : )
-
Vérifiée par Alloprof
Secondaire 3 • 2aNotation exponentielle, JE ne comprends pas le i
-
Vérifiée par Alloprof
Secondaire 4 • 2aBonjour je ne comprend pas comment
dans le corriger les signes changes.























