Skip to content

Zone d’entraide

Mathématiques

{t c="richEditor.description.title"} {t c="richEditor.description.paragraphMenu"} {t c="richEditor.description.inlineMenu"} {t c="richEditor.description.embed"}

Liste de discussions

  • Vérifiée par Alloprof
    TerreZen3561avatar
    Vérifiée par Alloprof
    Primaire 3 • 4a

    Que veut dire "decomposer le second terme?"

    EC60BE51-0CAE-4B41-AC97-A74585EFC73D.jpeg
  • Vérifiée par Alloprof
    PistacheTenace2586avatar
    Vérifiée par Alloprof
    Secondaire 2 • 4a

    j'aimerais avoir des explication claire et précise car je ne réussi pas résoudre se numéro. Merci d'avance!

    Anthony.

    Capture d’écran, le 1738-01-12 à 20.04.48.png
  • Vérifiée par Alloprof
    LapinAdorable710avatar
    Vérifiée par Alloprof
    Secondaire 3 • 4a

    Comment trouver la règle de la fonction affine

    image.jpg
  • Vérifiée par Alloprof
    RubisSociable7145avatar
    Vérifiée par Alloprof
    Secondaire 2 • 4a

    Bonjour je ne comprend pas le concept d'élever au carrée et d'extraire la racine carrée! Pourais-je avoir de l'aide s'il vous plait???

  • Vérifiée par Alloprof
    LibelluleOrange9400avatar
    Vérifiée par Alloprof
    Secondaire 5 • 4a

    Bonjour, comment fait-on pour savoir si une fonction logarithmique ou exponentielle est croissante ou décroissante sans faire de graphique ?

    Merci.

  • Vérifiée par Alloprof
    ElfeCharismatique4542avatar
    Vérifiée par Alloprof
    Secondaire 1 • 4a

    Je ne comprend mon problème Jessica travaille dans une compagnie qui vend des abonnement annuels pour recevoir des livres, des magazines et des journaux elle reçoit un montant de 15$ pour chaque vente d'abonnement a ces livres, un montant de 12$ pour chaque magazine et un montant de 8$ pour chaque journal. le mois dernier Jessika a reçu un salaire de 846$ et elle a vendu 30 abonnement a des livres et 25 a des magazines. combien d'abonnement a telle vendus en tout

  • Vérifiée par Alloprof
    DiamantDynamique7010avatar
    Vérifiée par Alloprof
    Secondaire 3 • 4a

    Bonsoir,

    Je ne comprends la façon dont il faut calculer et les questions a se poser afin de convertir des mesure en rapport avec la notation scientifique.

    Par exemple dans ce numéro, je ne comprends pas l'explication de la démarche :Convertis la quantité suivante dans l'unité de mesure donnée.6,52 × 10⁻² dam =              ?       mm

    Leur explication :

    Pour convertir des décamètres en millimètres, on multiplie par 10 exposant 4 :

    6,54× 10 exposant moins 2 × 10 exposant 4

    La réponse est donc 652 mm

    Merci

  • Vérifiée par Alloprof
    GobelinAdmirable3150avatar
    Vérifiée par Alloprof
    Secondaire 2 • 4a

    J'ai de la difficulté avec les rapports...j'ai fait l'excercices mais j'en voudrais d'autre

    Merci

  • Vérifiée par Alloprof
    AnanasZen6709avatar
    Vérifiée par Alloprof
    Primaire 4 • 4a

    Je comprend pas cette question

    Il y5unitésdans letableaudesvaleurs de position.

    Place10 foisla quantité d'unitésdans lacolonnedesdizaines.Dans lacolonnedescentaines, place10 foisla quantité dedizainesque tu as placées.


    pouvez vous m'aider

    Merci

  • Vérifiée par Alloprof
    RequinLambda486avatar
    Vérifiée par Alloprof
    Secondaire 4 • 4a

    Bonjour est-ce que vous pouvez m’aider avec ce problème svp

    image.jpg
  • Vérifiée par Alloprof
    OlorotitanRapide851avatar
    Vérifiée par Alloprof
    Primaire 4 • 4a

    Pouver vous maider à additionner les grand nombre comme 4384+9734=?

  • Vérifiée par Alloprof
    YuzuDynamique8135avatar
    Vérifiée par Alloprof
    Secondaire 4 • 4a

    Bonjour est-ce que je pourrais avoir de l'aide pour cette exercice. Merci

    16323441803518666617438374421909.jpg
    16323442564309151241229383271908.jpg
  • Vérifiée par Alloprof
    éliot66avatar
    Vérifiée par Alloprof
    Secondaire 1 • 4a

    est ce que vous pouvez m aidé avec l écart des nombres entiers please

  • Vérifiée par Alloprof
    ScorpionExemplaire8007avatar
    Vérifiée par Alloprof
    Secondaire 2 • 4a

    Bonjour,

    J’aimerais avoir un truc qui pourrait m’aider à différencier la variable dépendante et la variable indépendante dans une situation problème (par exemple) en mathématique.

    Merci d’avance!

  • Vérifiée par Alloprof
    LionRose7477avatar
    Vérifiée par Alloprof
    Primaire 5 • 4a

    allo j'aimerais avoir de l'aide pour les mathématiques s'il te plaît merci

  • Vérifiée par Alloprof
    RubisFiable9468avatar
    Vérifiée par Alloprof
    Secondaire 2 • 4a

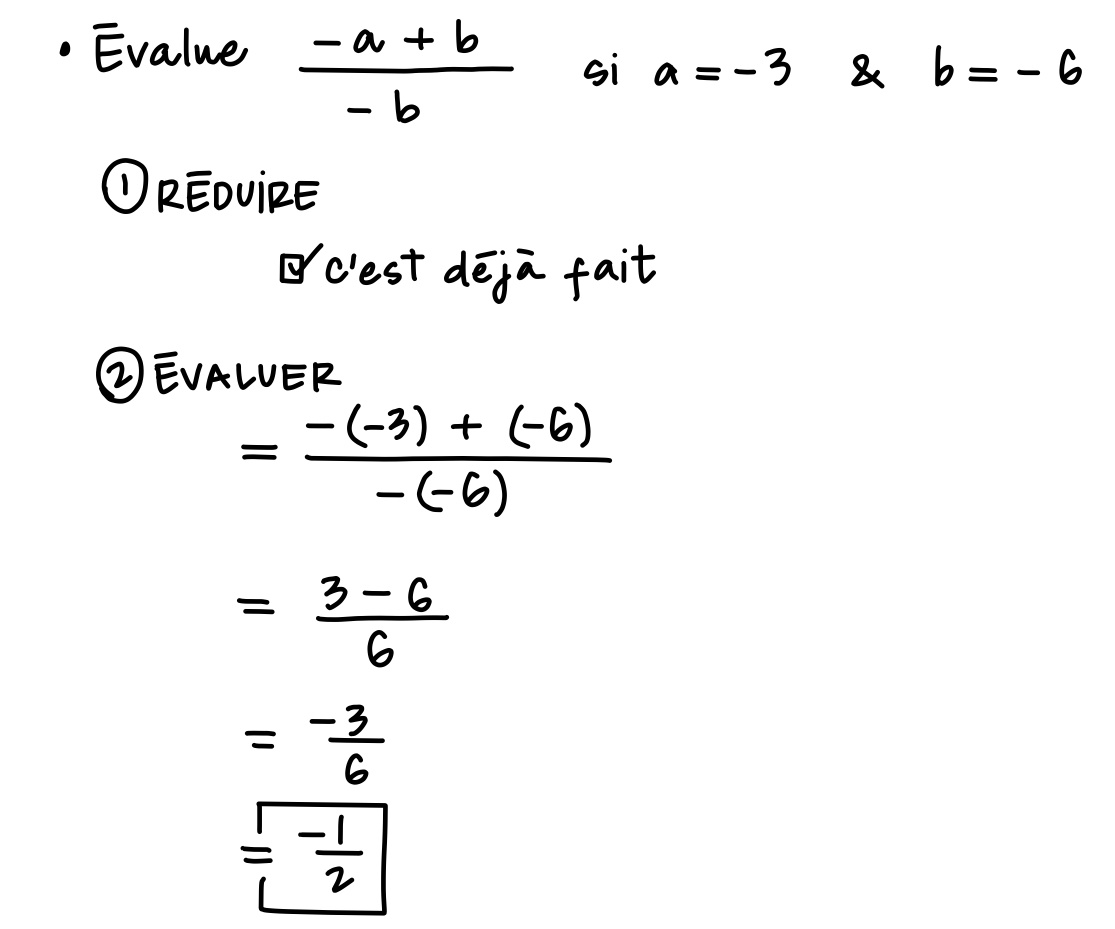
    Bonjour.

    Je ne comprends pas pourquoi le -a+b/-b est déjà réduite dans ce cas. Ne doit on pas encore diviser le b par le -b car ils sont des termes semblables?

    Merci

    8C621CF0-46A2-4419-8AFC-7025A02621A9.jpeg
  • Vérifiée par Alloprof
    RubisArtistique2505avatar
    Vérifiée par Alloprof
    Secondaire 1 • 4a

    Pouvez-vous m'aider Svp

    16323398905138965412152439514637.jpg
  • Vérifiée par Alloprof
    AraBionique411avatar
    Vérifiée par Alloprof
    Secondaire 3 • 4a

    Je ne comprend pas comment faire se numéro là aider moi svp

    image.jpg
  • Vérifiée par Alloprof
    RenardPerspicace7797avatar
    Vérifiée par Alloprof
    Secondaire 3 • 4a

    Il faut que je détermine la valeur initiale de la fonction 4 et (0, 0).C'est une fonctions polynomiale du premier degré.

    Pouvez vous m'expliquer comment on procède svp.

  • Vérifiée par Alloprof
    DiamantMauve2943avatar
    Vérifiée par Alloprof
    Primaire 6 • 4a

    Je ne comprend pas l'exercice 12

    Screenshot 2021-09-22 at 11.49.41 AM.png
  • Vérifiée par Alloprof
    RenardPerspicace7797avatar
    Vérifiée par Alloprof
    Secondaire 3 • 4a

    C'est une fonctions polynomiale du premier degré.

  • Vérifiée par Alloprof
    PythonAgile2676avatar
    Vérifiée par Alloprof
    Secondaire 5 • 4a

    Comment tracer y<-5/4x + 337,5 dans un graphique?

  • Vérifiée par Alloprof
    RenardPerspicace7797avatar
    Vérifiée par Alloprof
    Secondaire 3 • 4a

    Il faut que je détermine la valeur initiale de la fonction 4 et (0, 0).

    Pouvez vous m'expliquer comment on procède svp.

  • Vérifiée par Alloprof
    RenardPerspicace7797avatar
    Vérifiée par Alloprof
    Secondaire 3 • 4a

    Bonjour,

    J'ai un problème ou il faux que je construis une fonctions a partir de: f(x) = -3x.

    Mais je n'arrive pas a comprendre cette règle. Pouvez-vous m'aidez?

  • Vérifiée par Alloprof
    LithiumArtistique8128avatar
    Vérifiée par Alloprof
    Secondaire 1 • 4a

    Allo

    Comment on converti un nombre fractionnaire

    Merci!😇

  • Vérifiée par Alloprof
    TigreHumble1318avatar
    Vérifiée par Alloprof
    Secondaire 3 • 4a

    Je n'arrive pas a soulver cette numéro.

    16322781881361527777578489317721.jpg
  • Vérifiée par Alloprof
    BleuetRose9780avatar
    Vérifiée par Alloprof
    Secondaire 3 • 4a

    Bonjour! Quelqu'un aurait truc pour se rappeler des ensembles des nombres!? Mon examen est demain et je ne suis pas capable de me rappeler à quoi les symboles corresponds. Merci d'avance!

  • Vérifiée par Alloprof
    AbafarBrave4489avatar
    Vérifiée par Alloprof
    Secondaire 4 • 4a

    Je n’arrive pas à trouver le b de la droite d2…:(j’ai eu le même problème pour le même exercice mais avec différentes valeursj’aurais besoin d’aide svp :(…pouvez-vous m’aider à comprendre comment on trouve -20 ^et je vais essayer de trouver le b de la droite 2 dans le numéro que je suis entrain de faire! ^^

    C054D131-9A34-4A84-AE80-C4D8BC729549.png
    48B14060-D587-479D-9A23-AC8603E6909C.png
  • Vérifiée par Alloprof
    AvocatCharismatique4012avatar
    Vérifiée par Alloprof
    Secondaire 5 • 4a

    À la section "Résoudre une équation rationnelle" de l'aide-mémoire ci-haut, un problème est résolu mais le paramètre 'b' ne semble être considéré. La raison ne m'est pas évidente.

    PS

    J'aurais bien voulu modifier une question que j'avais déjà poser, mais je ne trouve aucune option pour le faire.

    Sans titre.png
  • Vérifiée par Alloprof
    CorbeauSarcelle3143avatar
    Vérifiée par Alloprof
    Primaire 6 • 4a

    Quelqu'un peut m'expliquer c'est quoi les nombres carrés svp <:(

Poser une question