Liste de discussions
-
Vérifiée par Alloprof
Secondaire 5 • 3aBonjour, j’ai une question à propos de ma note
ademettons que j’ai 60% dans une matière et que j’ai eu 78% dans un examen d’une pondération de 45 quelle note vais-je avoir? Et si j’ai un autre examen d’une pondération 40 qu’elle est ma limite d’échec pour quand même passé à ma note final passer?
merci de répondre à ma question :)
-
Vérifiée par Alloprof
Secondaire 2 • 3aQuelle est le calcule pour trouver le degré de l’angle?
-
Vérifiée par Alloprof
Secondaire 4 • 3aSalut!
Mon frère à sont examens de mathématiques secondaire 4 demain et il y à une question qui nous tracasse.
Ses une question d'un ancien examen qu'il a retranscri.
Il doit trouver l'air au cm près et il y a 2 angles droit et 2 côtés un de 25 cm et l'autre de 75 cm.
Merci d'avance !!!
-
Vérifiée par Alloprof
Primaire 6 • 3aBonsoir ! :)
J’ai des questions deux précisément
comment écrire des nombres décimaux en forme de fractions décimales ?
comment arrondir un nombre décimal à l’unité ?
Merci d’avance! :D
-
Vérifiée par Alloprof
Secondaire 4 • 3aBonjour je souhaite intégrer les forces canadiennes mais jeai de la difficultés avec la résolution de problème et nous avons 30 question a répondre en 30 minutes math sec 4
-
Vérifiée par Alloprof
Secondaire 4 • 3aBonjour,
je suis en secondaire 4 est mon examen du ministère en math Cst est Lundi le 20 .
J’aimerais être sûr d’être prêt à l’examen . Est-ce que vous avez des exercices récapitulatifs pour savoir les matières dont j’ai plus de difficulté
-
Vérifiée par Alloprof
Primaire 6 • 3aBonjour ! J’aimerais vous poser une question et en même temps vous remercier parce que vous m’avez aidé à comprendre beaucoup de chose vraiment merci !
Ma question c’est que j’ai des doutes..
une fraction inférieur à 1 c’est quand le numérateur est plus grand que le dénominateur ou le contraire ?
Merci :)
-
Vérifiée par Alloprof
Secondaire 1 • 3aBonjour,
j’aimerais avoir des explications pour le numéro 9.
merci
-
Vérifiée par Alloprof
Secondaire 4 • 3aBonjour, m'a question a été effacé parce qu'il fallais la démarche pour m'aider, je comprend! Mais en fais c'est là le probleme. C'est que j'arrive pas à partir le numéro. J'ai beau regardé mes notes, relire et relire le problème, j'arrive pas a partir le problème. Puis-je avoir de l'aide avec cela ou il faut vraiment une démarche?
-
Vérifiée par Alloprof
Secondaire 3 • 3aBonjour, j'aimerais juste savoir si ma démarche dans l'exercice 28 est correcte
-
Vérifiée par Alloprof
Primaire 5 • 3aSais quoi le volume parce que je ne comprent pas
-
Vérifiée par Alloprof
Secondaire 1 • 3aJe ne comprends pas comment calculer combiens de minutes sont dans 4 ans.
-
Vérifiée par Alloprof
Secondaire 1 • 3ayatilm uns strategie pour connaires les criteres de divisibilité pas coeur ?
merci a la personne qui repondra a ma question bonne journee
-
Vérifiée par Alloprof
Secondaire 3 • 3aje ne comprends pas.. pouvez-vous m'expliquer merci
-
Vérifiée par Alloprof
Secondaire 5 • 3aBonjour j’aimerais avoir de l’aide pour ma situation problème sur les fonctions sinus et cosinus . Merci
-
Vérifiée par Alloprof
Secondaire 3 • 3aRebonjour, c'est le numéro 22 svp
-
Vérifiée par Alloprof
Secondaire 3 • 3aBonjour, j'aimerais avoir l'explication pour l'exercice N22 page 389 du livre mathématique sommet sec 3
-
Vérifiée par Alloprof
Secondaire 3 • 3aBonjour j’aimerais avoir de l’aide pour faire le numéro B s’il vous plait. C’est des math de secondaire 3.
-
Vérifiée par Alloprof
Secondaire 2 • 3aBonjour je me demandais comment résoudre 15x divisé par 3x
-
Vérifiée par Alloprof
Secondaire 3 • 3aBonjour,
Je voudrais une certaine validation par rapport à un exercice sur la résolution d'équations. Voici l'exercice :
Détermine le nombre de billets de chaque montant.
David dépose 54 billets de 5 $ et de 10 $ dans son compte bancaire. Le montant total du dépôt s'élève à 420 $. x: Nombre de billets de 10 $ y: Nombre de billets de 5 $ x+y= 54
10x+ 5y= 420 $
Les réponses que j'ai trouvé sont qu'Il y a 51 billets de 10$ et 3 billets de 5$.
Merci
-
Vérifiée par Alloprof
Primaire 6 • 3acomment convertir le taux de change ?
-
Vérifiée par Alloprof
Secondaire 5 • 3aBonsoir,
Je suis en math SN5 et je suis en train de faire ma révision pour mon examen final. (Malheureusement, je remarques que mes vecteurs sont quand même loin dans ma tête, donc pouvez-vous svp m'aider avec ce numéro?)Merci et bonne soirée! ;)
-
Vérifiée par Alloprof
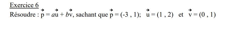
Secondaire 5 • 3aBonsoir,
Je suis en math SN5 et j'aurai une question concernant les vecteurs colinéaires. Est-ce que les vecteurs colinéaires sont parallèles?
Merci et bonne soirée! ;)
-
Vérifiée par Alloprof
Secondaire 5 • 3aBonsoir,
Je suis en math SN5 et j'aurai une question sur les vecteurs. Si on a vecteur AB pis que vecteur BA est l'opposé de vecteur AB. Donc, est-ce bien ça : vecteur AB = - vecteur BA et vecteur BA = - vecteur AB?
Merci et bonne soirée! ;)
-
Vérifiée par Alloprof
Secondaire 3 • 3aLorsque je trouve le b dans la formule f(x)= mx+b et que par exemple ça me donne 12 à la 2 = b dois-je faire une racine carré pour trouver l’a valeurs de b?
-
Vérifiée par Alloprof
Secondaire 3 • 3adans la formule f(x)=
m=y2-y1 sur x2 - x1
est-ce que ces possible de faire cette formule avec une directe ou ça fonctionne seulement avec une partielle
-
Vérifiée par Alloprof
Secondaire 3 • 3aCes par rapport à l’algèbre
lorsque l’on fait une addition on additionne aussi les exposant ou non
ou lors d’un soustraction est-ce que l’on soustrait les exposant
de même pour une multiplication et une division.. on fait quoi avec les exposant je comprend pas
-
Vérifiée par Alloprof
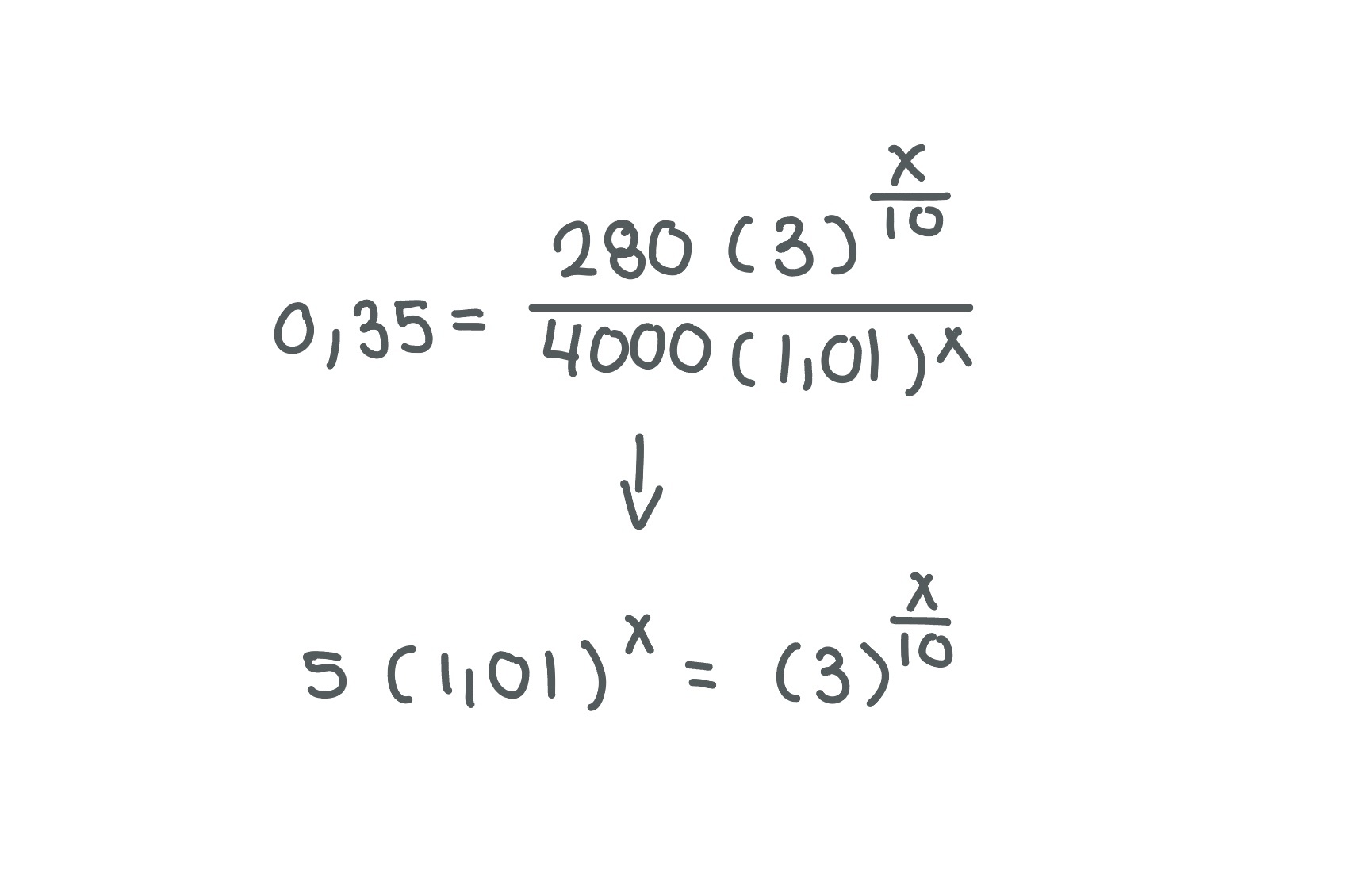
Secondaire 5 • 3aBonjour,
Je me permets de poser la même question que plus tôt dans la soirée, car même si j’ai beaucoup apprécié les explications et le temps qui a été pris pour me répondre, ça ne m’a pas vraiment aidée, désolée :(J’arrive à résoudre jusqu’à ce point, mais je ne comprends pas comment isoler x après. Je sais qu’il faut les transformer en log et je connais déjà les formules mais je n’arrive pas à comprendre comment faire concrètement. Je connais déjà la réponse ( 16.109 ) et ce n’est pas pour ça que je demande de l’aide. Je veux simplement comprendre la démarche.
Merci d’avance encore une fois!
-
Vérifiée par Alloprof
Secondaire 5 • 3aPour la question que je viens de poser je pense que vous avez mal compris car la on cherche le c et non l'exposant alors le truc que vous m'avez donné ça ne m'aide pas vraiment. Car c'est pas l'exposant qu'on me donne. J'espère que vous avez, compris ce que je veux dire.
Pour l'exponnentiel
On a 3000=1000 C⁷
3=7c
Mais je ne sais pas quoi faire après.
-
Vérifiée par Alloprof
Secondaire 4 • 3aBonjour je ne comprend vraiment pas cette exercice









